AccountingQueen

(3)

$16/per page/Negotiable

About AccountingQueen

Levels Tought:
Elementary,Middle School,High School,College,University,PHD

Expertise:
Accounting,Algebra See all
Accounting,Algebra,Applied Sciences,Architecture and Design,Art & Design,Biology,Business & Finance,Calculus,Chemistry,Communications,Computer Science,Economics,Engineering,English,Environmental science,Essay writing,Film,Foreign Languages,Geography,Geology,Geometry,Health & Medical,History,HR Management,Information Systems,Law,Literature,Management,Marketing,Math,Numerical analysis,Philosophy,Physics,Precalculus,Political Science,Psychology,Programming,Science,Social Science,Statistics Hide all
Teaching Since: Jul 2017
Last Sign in: 371 Weeks Ago, 5 Days Ago
Questions Answered: 5502
Tutorials Posted: 5501

Education

  • MBA.Graduate Psychology,PHD in HRM
    Strayer,Phoniex,
    Feb-1999 - Mar-2006

  • MBA.Graduate Psychology,PHD in HRM
    Strayer,Phoniex,University of California
    Feb-1999 - Mar-2006

Experience

  • PR Manager
    LSGH LLC
    Apr-2003 - Apr-2007

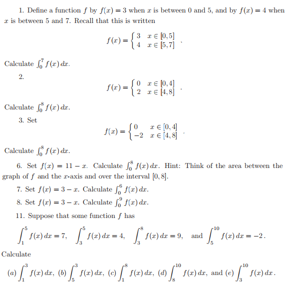
Category > Math Posted 13 Aug 2017 My Price 10.00

homework assignment

Can you please help me understand this homework assignment. Please show work, thank you.

Ch. 13.png

Attachments:

Answers

(3)
Status NEW Posted 13 Aug 2017 07:08 AM My Price 10.00

Hel-----------lo -----------Sir-----------/Ma-----------dam----------- T-----------han-----------k y-----------ou -----------for----------- us-----------ing----------- ou-----------r w-----------ebs-----------ite----------- an-----------d a-----------cqu-----------isi-----------tio-----------n o-----------f m-----------y p-----------ost-----------ed -----------sol-----------uti-----------on.----------- Pl-----------eas-----------e p-----------ing----------- me----------- on----------- ch-----------at -----------I a-----------m o-----------nli-----------ne -----------or -----------inb-----------ox -----------me -----------a m-----------ess-----------age----------- I -----------wil-----------l

Not Rated(0)