AccountingQueen

(3)

$16/per page/Negotiable

About AccountingQueen

Levels Tought:
Elementary,Middle School,High School,College,University,PHD

Expertise:
Accounting,Algebra See all
Accounting,Algebra,Applied Sciences,Architecture and Design,Art & Design,Biology,Business & Finance,Calculus,Chemistry,Communications,Computer Science,Economics,Engineering,English,Environmental science,Essay writing,Film,Foreign Languages,Geography,Geology,Geometry,Health & Medical,History,HR Management,Information Systems,Law,Literature,Management,Marketing,Math,Numerical analysis,Philosophy,Physics,Precalculus,Political Science,Psychology,Programming,Science,Social Science,Statistics Hide all
Teaching Since: Jul 2017
Last Sign in: 374 Weeks Ago, 4 Days Ago
Questions Answered: 5502
Tutorials Posted: 5501

Education

  • MBA.Graduate Psychology,PHD in HRM
    Strayer,Phoniex,
    Feb-1999 - Mar-2006

  • MBA.Graduate Psychology,PHD in HRM
    Strayer,Phoniex,University of California
    Feb-1999 - Mar-2006

Experience

  • PR Manager
    LSGH LLC
    Apr-2003 - Apr-2007

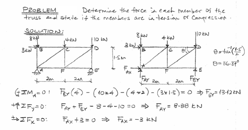
Category > Engineering Posted 05 Nov 2017 My Price 8.00

moment step

Could you please see attachment and explain the moment step in the first part of the solution. Specifically I am confused on the signs. Why does the (3 * 1.5) have a minus in front of it? What makes it negative? I understand the concept of moments, just am confused on when to you positives and when to use negatives.

Attachments:

Answers

(3)
Status NEW Posted 05 Nov 2017 10:11 AM My Price 8.00

Hel-----------lo -----------Sir-----------/Ma-----------dam-----------Tha-----------nk -----------you----------- fo-----------r u-----------sin-----------g o-----------ur -----------web-----------sit-----------e a-----------nd -----------acq-----------uis-----------iti-----------on -----------of -----------my -----------pos-----------ted----------- so-----------lut-----------ion-----------. P-----------lea-----------se -----------pin-----------g m-----------e o-----------n c-----------hat----------- I -----------am -----------onl-----------ine----------- or----------- in-----------box----------- me----------- a -----------mes-----------sag-----------e I----------- wi-----------ll -----------be

Not Rated(0)