SuperTutor

(15)

$15/per page/Negotiable

About SuperTutor

Levels Tought:
Elementary,Middle School,High School,College,University,PHD

Expertise:
Accounting,Business & Finance See all
Accounting,Business & Finance,Economics,Engineering,HR Management,Math Hide all
Teaching Since: Apr 2017
Last Sign in: 327 Weeks Ago, 4 Days Ago
Questions Answered: 12843
Tutorials Posted: 12834

Education

  • MBA, Ph.D in Management
    Harvard university
    Feb-1997 - Aug-2003

Experience

  • Professor
    Strayer University
    Jan-2007 - Present

Category > Chemistry Posted 27 Apr 2017 My Price 5.00

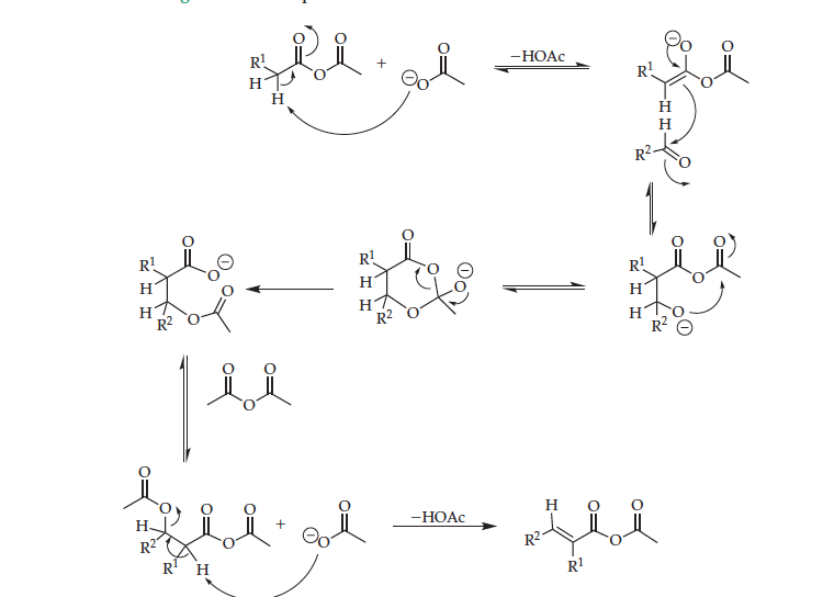
Perkin reactien

2. In the Perkin reactien shewn in Equaticln E212, a small
ameunt cf styrene is formed. Prepese a mechanism for the Eermatien at this miner product. Hint: Examine the mechanism outlined in Figure E213 and determine if there
is same peint at which the aikexide ceuld react differently!r thanisshewninthefigure.

Attachments:

Answers

(15)
Status NEW Posted 27 Apr 2017 03:04 AM My Price 5.00

-----------

Attachments

file 1493263414-Solutions file.docx preview (56 words )
S-----------olu-----------tio-----------ns -----------fil-----------e -----------Hel-----------lo -----------Sir-----------/Ma-----------dam----------- T-----------han-----------k y-----------ou -----------for----------- yo-----------ur -----------int-----------ere-----------st -----------and----------- bu-----------yin-----------g m-----------y p-----------ost-----------ed -----------sol-----------uti-----------on.----------- Pl-----------eas-----------e p-----------ing----------- me----------- on----------- ch-----------at -----------I a-----------m o-----------nli-----------ne -----------or -----------inb-----------ox -----------me -----------a m-----------ess-----------age----------- I -----------wil-----------l b-----------e q-----------uic-----------kly----------- on-----------lin-----------e a-----------nd -----------giv-----------e y-----------ou -----------exa-----------ct -----------fil-----------e a-----------nd -----------the----------- sa-----------me -----------fil-----------e i-----------s a-----------lso----------- se-----------nt -----------to -----------you-----------r e-----------mai-----------l t-----------hat----------- is----------- re-----------gis-----------ter-----------ed -----------on-----------th-----------is -----------web-----------sit-----------e. ----------- H-----------YPE-----------RLI-----------NK -----------&qu-----------ot;-----------htt-----------p:/-----------/wo-----------rkb-----------ank-----------247-----------.co-----------m/&-----------quo-----------t; -----------\t -----------&qu-----------ot;-----------_bl-----------ank-----------&qu-----------ot;----------- -----------Tha-----------nk -----------you----------- -----------
Not Rated(0)