SuperTutor

(15)

$15/per page/Negotiable

About SuperTutor

Levels Tought:
Elementary,Middle School,High School,College,University,PHD

Expertise:
Accounting,Business & Finance See all
Accounting,Business & Finance,Economics,Engineering,HR Management,Math Hide all
Teaching Since: Apr 2017
Last Sign in: 327 Weeks Ago, 4 Days Ago
Questions Answered: 12843
Tutorials Posted: 12834

Education

  • MBA, Ph.D in Management
    Harvard university
    Feb-1997 - Aug-2003

Experience

  • Professor
    Strayer University
    Jan-2007 - Present

Category > Chemistry Posted 27 Apr 2017 My Price 6.00

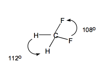
bond angles in difluoromethane

 

(a) Account for the observed bond angles in difluoromethane (shown below). Account for the deviation from the "idealized" 109.5o bond angle value.

(b) Explain why the bond angle of H2O (104.5o) is smaller than the bond angles of NH3 (106.6o).

(c) Explain why the bond angles of PF3 (97.8o) are smaller than the bond angles of NF3 (102.2o).

Attachments:

Answers

(15)
Status NEW Posted 27 Apr 2017 06:04 AM My Price 6.00

-----------

Attachments

file 1493273195-Solutions file.docx preview (56 words )
S-----------olu-----------tio-----------ns -----------fil-----------e -----------Hel-----------lo -----------Sir-----------/Ma-----------dam----------- T-----------han-----------k y-----------ou -----------for----------- yo-----------ur -----------int-----------ere-----------st -----------and----------- bu-----------yin-----------g m-----------y p-----------ost-----------ed -----------sol-----------uti-----------on.----------- Pl-----------eas-----------e p-----------ing----------- me----------- on----------- ch-----------at -----------I a-----------m o-----------nli-----------ne -----------or -----------inb-----------ox -----------me -----------a m-----------ess-----------age----------- I -----------wil-----------l b-----------e q-----------uic-----------kly----------- on-----------lin-----------e a-----------nd -----------giv-----------e y-----------ou -----------exa-----------ct -----------fil-----------e a-----------nd -----------the----------- sa-----------me -----------fil-----------e i-----------s a-----------lso----------- se-----------nt -----------to -----------you-----------r e-----------mai-----------l t-----------hat----------- is----------- re-----------gis-----------ter-----------ed -----------onÂ----------- th-----------is -----------web-----------sit-----------e. ----------- H-----------YPE-----------RLI-----------NK -----------&qu-----------ot;-----------htt-----------p:/-----------/wo-----------rkb-----------ank-----------247-----------.co-----------m/&-----------quo-----------t; -----------\t -----------&qu-----------ot;-----------_bl-----------ank-----------&qu-----------ot;----------- -----------Tha-----------nk -----------you----------- -----------
Not Rated(0)