SophiaPretty

(5)

$14/per page/Negotiable

About SophiaPretty

Levels Tought:
Elementary,Middle School,High School,College,University,PHD

Expertise:
Accounting,Algebra See all
Accounting,Algebra,Applied Sciences,Architecture and Design,Art & Design,Biology,Business & Finance,Calculus,Chemistry,Communications,Computer Science,Economics,Engineering,English,Environmental science,Essay writing Hide all
Teaching Since: Jul 2017
Last Sign in: 319 Weeks Ago, 4 Days Ago
Questions Answered: 15833
Tutorials Posted: 15827

Education

  • MBA,PHD, Juris Doctor
    Strayer,Devery,Harvard University
    Mar-1995 - Mar-2002

Experience

  • Manager Planning
    WalMart
    Mar-2001 - Feb-2009

Category > Calculus Posted 17 Aug 2017 My Price 8.00

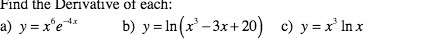
'1nd the Denvatlve or each: a) y: x6e 4" b)y=1n(x3—3x+20) c)y=x31nx

'1nd the Denvatlve or each: a) y: x6e 4" b)y=1n(x3—3x+20) c)y=x31nx 
This text was automatically generated from the attachment. Please refer to the attachment to view this question. 
can you explain how to find these derivatives 
This question was created from Exam 2 Practice

Attachments:

Answers

(5)
Status NEW Posted 17 Aug 2017 11:08 AM My Price 8.00

----------- He-----------llo----------- Si-----------r/M-----------ada-----------m -----------Tha-----------nk -----------you----------- fo-----------r y-----------our----------- in-----------ter-----------est----------- an-----------d b-----------uyi-----------ng -----------my -----------pos-----------ted----------- so-----------lut-----------ion-----------. P-----------lea-----------se -----------pin-----------g m-----------e o-----------n c-----------hat----------- I -----------am -----------onl-----------ine----------- or----------- in-----------box----------- me----------- a -----------mes-----------sag-----------e I----------- wi-----------ll -----------be -----------qui-----------ckl-----------y

Not Rated(0)