SophiaPretty

(5)

$14/per page/Negotiable

About SophiaPretty

Levels Tought:
Elementary,Middle School,High School,College,University,PHD

Expertise:
Accounting,Algebra See all
Accounting,Algebra,Applied Sciences,Architecture and Design,Art & Design,Biology,Business & Finance,Calculus,Chemistry,Communications,Computer Science,Economics,Engineering,English,Environmental science,Essay writing Hide all
Teaching Since: Jul 2017
Last Sign in: 319 Weeks Ago, 5 Days Ago
Questions Answered: 15833
Tutorials Posted: 15827

Education

  • MBA,PHD, Juris Doctor
    Strayer,Devery,Harvard University
    Mar-1995 - Mar-2002

Experience

  • Manager Planning
    WalMart
    Mar-2001 - Feb-2009

Category > Math Posted 27 Aug 2017 My Price 5.00

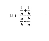
Simplify the complex fraction.

Attachments:

Answers

(5)
Status NEW Posted 27 Aug 2017 07:08 AM My Price 5.00

----------- He-----------llo----------- Si-----------r/M-----------ada-----------m -----------Tha-----------nk -----------you----------- fo-----------r y-----------our----------- in-----------ter-----------est----------- an-----------d b-----------uyi-----------ng -----------my -----------pos-----------ted----------- so-----------lut-----------ion-----------. P-----------lea-----------se -----------pin-----------g m-----------e o-----------n c-----------hat----------- I -----------am -----------onl-----------ine----------- or----------- in-----------box----------- me----------- a -----------mes-----------sag-----------e I----------- wi-----------ll -----------be -----------qui-----------ckl-----------y

Not Rated(0)