SophiaPretty

(5)

$14/per page/Negotiable

About SophiaPretty

Levels Tought:
Elementary,Middle School,High School,College,University,PHD

Expertise:
Accounting,Algebra See all
Accounting,Algebra,Applied Sciences,Architecture and Design,Art & Design,Biology,Business & Finance,Calculus,Chemistry,Communications,Computer Science,Economics,Engineering,English,Environmental science,Essay writing Hide all
Teaching Since: Jul 2017
Last Sign in: 312 Weeks Ago, 4 Days Ago
Questions Answered: 15833
Tutorials Posted: 15827

Education

  • MBA,PHD, Juris Doctor
    Strayer,Devery,Harvard University
    Mar-1995 - Mar-2002

Experience

  • Manager Planning
    WalMart
    Mar-2001 - Feb-2009

Category > Economics Posted 06 Sep 2017 My Price 8.00

I am taking undergrad Industrial organizations

Hello, there.

 

I am taking undergrad Industrial organizations course (Bus Econ) and I was wondering if you'd help me to write an outline of my research paper about 2-3 pages long. I am asking only #1, which question is attached the file that I've uploaded. The topic that I've chosen is Price discrimination and I'm going to write about an analysis of a case study. (please see the guidelines that I've posted; General Approach: Price discrimination, a) A Common practice of Modern firms - a case study).

I am asking very detailed outline of this research paper and it should be written by either bullet points or sentences so that I can write my research paper based on the outline you may help. It should include antitrust analysis and perspective.  It can be started with either inductive or deductive writing style. for example, starting with an introduction of price discrimination and showing the firms in real life (e.g. competing prices among airplane companies) or starting with showing the real firms that have a strategy of price discrimination and introduce the concept of it. 

Again, What I want is the outline (Intro, thesis, body etc.) Just make sure that you provide the framework so I will research the more detail on them. I've never written about case study before so I had a hard time to figure out what the case study should look like and include about (e.g. thesis, problems, literature review etc...) 

Thank you so much for helping me. 

Sincerely

Claire Lee

 

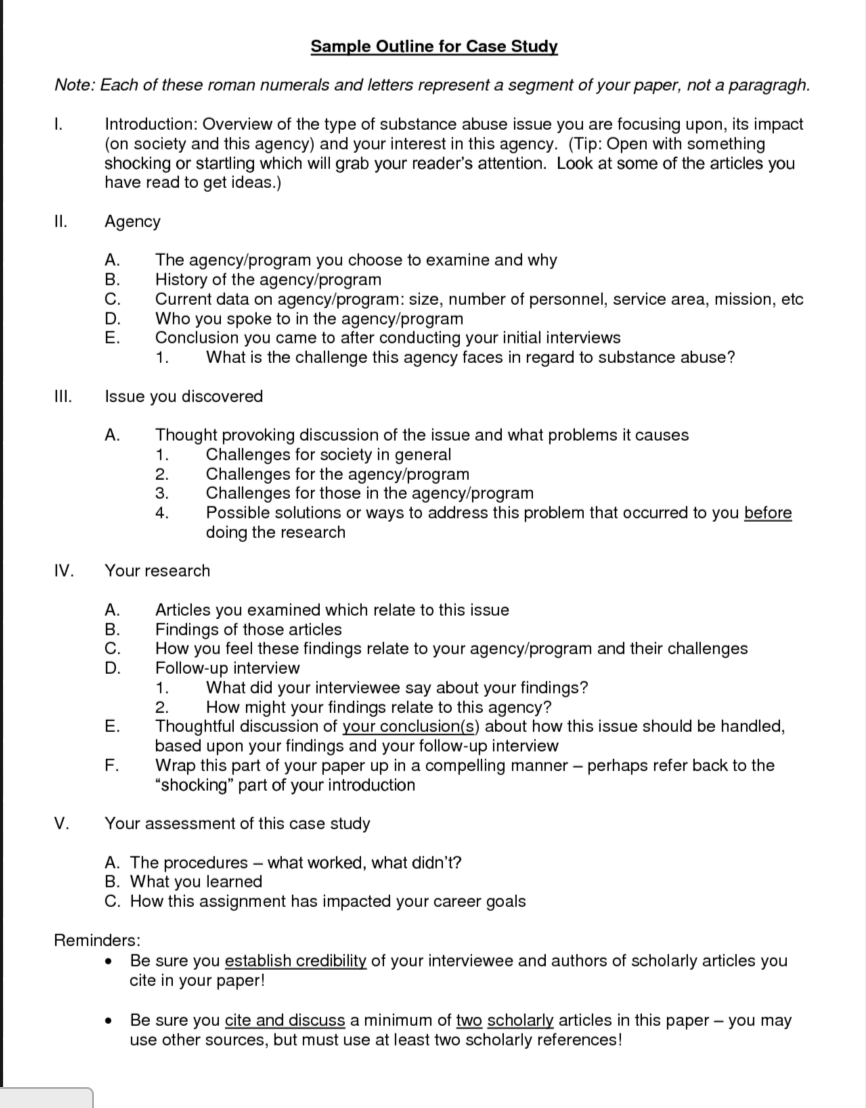
p.s guideline file is given in my class. // other two files are references that you can look at. (the sample is just what my outline is going to look like) 

Attachments:

Answers

(5)
Status NEW Posted 06 Sep 2017 01:09 PM My Price 8.00

Hel-----------lo -----------Sir-----------/Ma-----------dam----------- T-----------han-----------k y-----------ou -----------for----------- yo-----------ur -----------int-----------ere-----------st -----------and----------- bu-----------yin-----------g m-----------y p-----------ost-----------ed -----------sol-----------uti-----------on.----------- Pl-----------eas-----------e p-----------ing----------- me----------- on----------- ch-----------at -----------I a-----------m o-----------nli-----------ne -----------or -----------inb-----------ox -----------me -----------a m-----------ess-----------age----------- I -----------wil-----------l b-----------e q-----------uic-----------kly-----------

Not Rated(0)